4.11 Design Operation
1. Pendahuluan[kembali]
Design Operation adalah salah satu operasi untuk menentukan nilai arus dan/ atau tegangan dengan komponen yang diperlukan untuk menetapkan level yang telah ditentukan. Proses ini membutuhkan pemahaman yang jelas mengenai karakteristik perangkat, persamaan dasar mengenai jaringan, dan pemahaman yang kokoh tentang hukum dasar analisa rangkaian, seperti hukum ohm, hukum tegangan kirchoff, dan lain lain
Urutan desain secara jelas sensitif terhadap komponen yang sudah ada ditentukan dan unsur unsur yang akan ditentukan. Jika transistor dan persediaan ditentukan, proses perencangan hanya akan menentukan resistor yang dibutuhkan untuk yang tertentu desain. Setelah nilai teoritis resistor ditentukan, nilai komersial standar terdekat biasanya dipilih dan variasi karena tidak menggunakan nilai resistansi yang tepat diterima sebagai bagian dari desain. Ini tentu pendekatan yang valid mengingat toleransi yang biasanya terkait dengan elemen resistif dan parameter transistor
Jika nilai resistif ditentukan, salah satu persamaan paling kuat hanya hukum ohm dalam bentuk berikut
2. Tujuan[kembali]
- Mengetahui definisi Design Operation
- Mengetahui berbagai komponen pada Design Operation
- Mensimulasikan rangkaian pada Design Operation
3. Alat dan Bahan[kembali]
A. ALAT
1 . Function Generator
Function Generator adalah alat ukur elektronik yang dapat membangkitkan gelombang dalam bentuk sinus, persegi empat dan bentuk gelombang lainnya sesuai dengan kebutuhan. Alat ini juga dapat menghasilkan frekuensi tertentu sesuai dengan kebutuhan.
2 . Ground
Ground adalah titik kembalinya arus searah atau titik kembalinya sinyal bolak balik atau titik patokan dari berbagai titik tegangan dan sinyal listrik dalam rangkaian elektronika.
B. BAHAN
1. Transistor
Transistor adalah alat semikonduktor yang dipakbai sebagai penguat, sebagai sirkuit pemutus dan penyambung arus (switching), stabilisasi tegangan, dan modulasi sinyal. Secara umum transistor dapat digolongkan menjadi dua keluarga besar yaitu Transistor Bipolar dan Transistor Efek Medan. Transistor yang digunakan adalah 2N4401.
Kapasitor di pasaran
Kapasitor adalah suatu alat yang dapat menyimpan energi di dalam medan listrik, dengan cara mengumpulkan ketidakseimbangan internal dari muatan listrik. Kapasitor mempunyai satuan Farad dari nama Michael Faraday.
3. Osiloskop
Osiloskop adalah alat ukur elektronika yang berfungsi memproyeksikan bentuk sinyal listrik. Osiloskop dilengkapi dengan tabung sinar katode. Peranti pemancar elektron memproyeksikan sorotan elektron ke layar tabung sinar katode.
4. Baterai
Baterai merupakan suatu komponen elektronika yang digunakan sebagai sumber tegangan pada rangkaian.
5. Resistor
Cara menghitung nilai resistansi resistor dengan gelang warna:
1. Masukkan angka langsung dari kode warna gelang pertama
2. Masukkan angka langsung dari kode warna gelang kedua
3. Masukkan angka langsung dari kode warna gelang ketiga
4. Masukkan jumlah nol dari kode warna gelang ke-4 atau pangkatkan angka tersebut dengan 10(10^n)
4. Dasar Teori[kembali]
Pada subab ini kita akan mencari nilai-nilai komponen komponen yang akan kita butuhkan pada rangkaian milik kita. Kita akan menghitung berapa besaran dan banyaknya komponen yang kita butuhkan terhadap rangkaian kita dengan Rumus-rumus bab sebelum nya yaitu
Nilai Resistor ;
Menggunakan nilai resistor standar memberikan:
Dijawab :
contoh 3 :
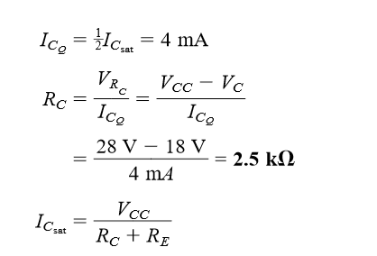
Konfigurasi emitter-bias pada gambar 4.49 memiliki spesifikasi sebagai berikut:
ICQ = ½ ICsat, ICsat =8 mA,VC = 18 V, and β = 110. Tentukan RC, RE, and RB.
Dijawab ;
Maka ,
Jadi ,
1. Desain Sirkuit Bias dengan Resistor Umpan Balik Emitter
2. Desain Sirkuit Penguatan Stabil Arus (Beta Bebas/Tidak Bergantung)
5. Percobaan[kembali]
a) Prosedur[kembali]
Step 1 : Buka Aplikasi Proteus
Step 2 : Susun dan siapkan komponen
Step 3 : Rangkai komponen
Step 4 : Mulai simulasi pada proteus
Step 5 : Amati rangkaian yang dibuat
b) Rangkaian Simulasi[kembali]
1. Rangkaian Gambar 4.59
2. Rangkaian Gambar 4.60
3. Rangkaian Gambar 4.61
4. Rangkaian Gambar 4.62
5. Rangkaian Gambar 4.63
c) Video Simulasi [kembali]
1. Rangkaian Gambar 4.59
2. Rangkaian Gambar 4.60
3. Rangkaian Gambar 4.61
4. Rangkaian Gambar 4.62
6. Download File[kembali]
- Rangkaian 4.59b klik disini
- Rangkaian 4.60 klik disini
- Rangkaian 4.61 klik disini
- Rangkaian 4.62 klik disini
- Rangkaian 4.63 klik disini
- Video 4.59b klik disini
- Video 4.60 klik disini
- Video 4.61 klik disini
- Video 4.62 klik disini
- Video 4.63 klik disini
- Datasheet resistor klik disini
- Datasheet transistor klik disini
- Datasheet voltmeter klik disini
- Datasheet baterai klik disini
- Datasheet kapasitor klik disini
- Datasheet osiloskop klik disini











.png)
.png)
.png)
.png)
.png)
Komentar
Posting Komentar